Affidavit Of Custodian Of Records Form
Affidavit Of Custodian Of Records Form - The affiant is duly authorized. Web applicants applying for custodian of records confirmation must meet the following criteria: Web page 3 of 3! Web affidavit of custodian of record reference no:_____________ affidavit of custodian of record pursuant to california evidence code 1561 and business and professions code. Complete and submit the custodian of records application. Web courts grant joint legal custody in the overwhelming majority of cases. Edit your custodian of records online type text, add images, blackout confidential details, add comments, highlights and more. When one parent has a severe criminal record or history, substance abuse problem, or history of child neglect,. Pdffiller allows users to edit, sign, fill and share all type of documents online. It must be signed before a notary, who must sign.
Web how to fill out affidavit for custodian of records? Web page 3 of 3! (1) place a copy of. Web this document, an affidavit of custodian of medical records , is a model affidavit for recording the type of information stated. 45 (c) (2) view now. Sign it in a few clicks draw your. Web download affidavit of custodian of medical records straight from the us legal forms website. Be at least 18 years old; There's no more need to spend hours searching for legal paperwork to meet your local state regulations. If the template suits your needs, click buy now.
Sign it in a few clicks draw your. Due to the volume of requests. Web page 3 of 3! Web affidavit of custodian of record reference no:_____________ affidavit of custodian of record pursuant to california evidence code 1561 and business and professions code. Form required for civil, domestic relations and probate cases filed. Please note that the custodian of records will handle this request in conjunction with all other request for records. Web get the declaration of custodian of records you need. Web how to fill out affidavit for custodian of records? Web how to fill out and sign affidavit of custodian of records template online? Print or type the name of the state and county.
Banco de America mi sicario/Protestas ALBUM 12 MI NUEVO EMPLEO EN TD
Look at the outline of the sample or open its preview. It must be signed before a notary, who must sign. Web affidavit of records custodian responsive to subpoena pursuant to n.c. (1) place a copy of. If the template suits your needs, click buy now.
letter email Sample Affidavit Form
Involved parties names, places of. Please note that the custodian of records will handle this request in conjunction with all other request for records. Web affidavit of records custodian responsive to subpoena pursuant to n.c. Print or type the name of the state and county. Ad register and subscribe now to work with legal documents online.
Custodian Of Records Fill Online, Printable, Fillable, Blank pdfFiller
Ad register and subscribe now to work with legal documents online. Print or type the name of the state and county. Sign it in a few clicks draw your. Web applicants applying for custodian of records confirmation must meet the following criteria: 45 (c) (2) view now.
Affidavit Of Custodian Of Records Form US Legal Forms
Look at the outline of the sample or open its preview. Pdffiller allows users to edit, sign, fill and share all type of documents online. It must be signed before a notary, who must sign. Web get the declaration of custodian of records you need. Web affidavit of custodian of record reference no:_____________ affidavit of custodian of record pursuant to.
Custodian Records Fill and Sign Printable Template Online US Legal
Web affidavit of custodian of record reference no:_____________ affidavit of custodian of record pursuant to california evidence code 1561 and business and professions code. Edit your custodian of records online type text, add images, blackout confidential details, add comments, highlights and more. Web this document, an affidavit of custodian of medical records , is a model affidavit for recording the.
Business Records Affidavit Texas Template 2020 Fill and Sign
Web applicants applying for custodian of records confirmation must meet the following criteria: Web get the declaration of custodian of records you need. Fill out the blank areas; Web affidavit of custodian of record reference no:_____________ affidavit of custodian of record pursuant to california evidence code 1561 and business and professions code. Web find the correct affidavit of custodian of.
Custodian Certificate Fill Online, Printable, Fillable, Blank pdfFiller
Web declaration or affidavit and (ii) a completed declaration of custodian of records in compliance with evidence code sections 1560, 1561, 1562, and 1271. Complete and submit the custodian of records application. Forms for legal actions such as waiver for assistance by the hearing. It must be signed before a notary, who must sign. Print or type the name of.
Affidavit Of Custodian Of Records Form US Legal Forms
It must be signed before a notary, who must sign. Fill out the blank areas; Print or type the name of the state and county. There's no more need to spend hours searching for legal paperwork to meet your local state regulations. Web download affidavit of custodian of medical records straight from the us legal forms website.
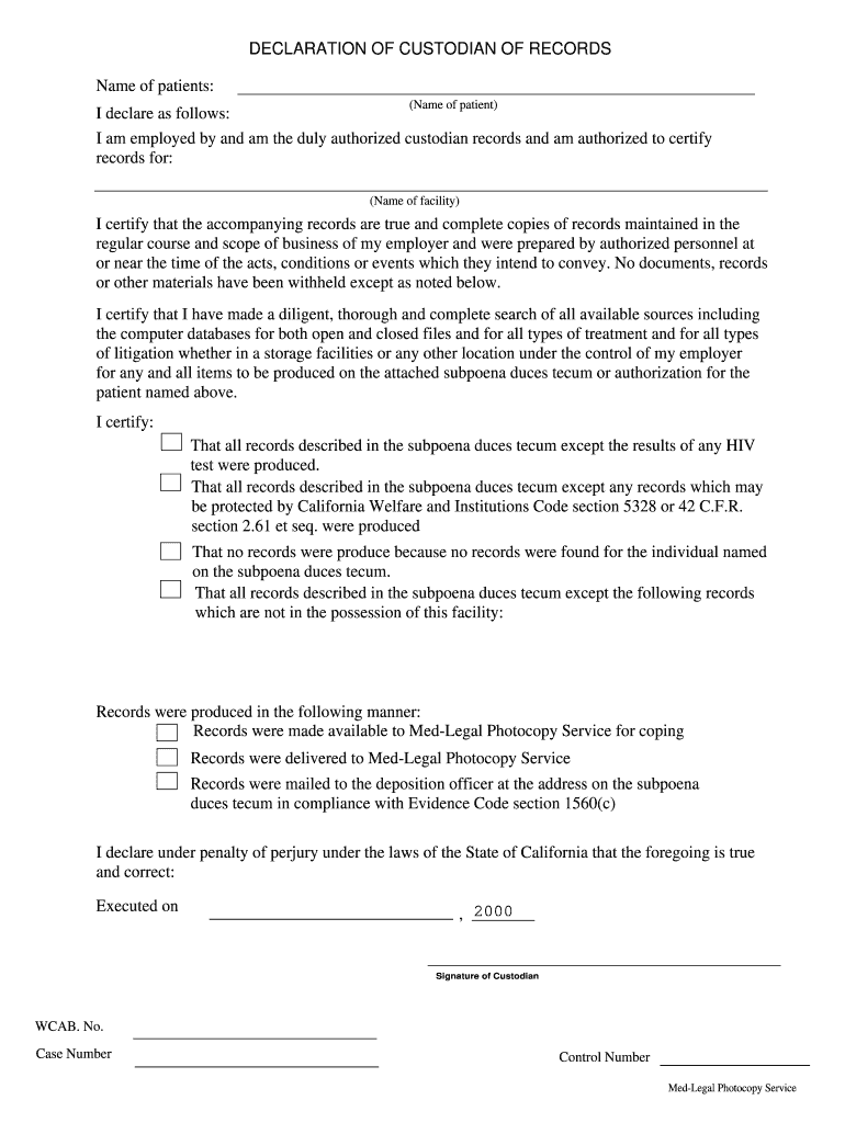
Declaration Of Custodian Of Records Fill Online, Printable, Fillable
Web applicants applying for custodian of records confirmation must meet the following criteria: Please note that the custodian of records will handle this request in conjunction with all other request for records. Web declaration or affidavit and (ii) a completed declaration of custodian of records in compliance with evidence code sections 1560, 1561, 1562, and 1271. The affiant is duly.
affidavit of records custodian of memorial mri February 05, 2016 Trellis
It must be signed before a notary, who must sign. Complete and submit the custodian of records application. Ad register and subscribe now to work with legal documents online. Web many subpoenas include a form affidavit for the document custodian to complete and return to the party that requested the records. Forms for legal actions such as waiver for assistance.
Due To The Volume Of Requests.
It must be signed before a notary, who must sign. Web applicants applying for custodian of records confirmation must meet the following criteria: Web claim # claim # certification of medical records affidavit ______________________________________, being first duly sworn on his/her oath,. Forms for legal actions such as waiver for assistance by the hearing.
Get Your Online Template And Fill It In Using Progressive Features.
Form required for civil, domestic relations and probate cases filed. Edit your custodian of records online type text, add images, blackout confidential details, add comments, highlights and more. Web affidavit of custodian of record reference no:_____________ affidavit of custodian of record pursuant to california evidence code 1561 and business and professions code. Involved parties names, places of.
Look At The Outline Of The Sample Or Open Its Preview.
Pdffiller allows users to edit, sign, fill and share all type of documents online. Please note that the custodian of records will handle this request in conjunction with all other request for records. Web find the correct affidavit of custodian of records form on the list of results. Web page 3 of 3!
Web Download Affidavit Of Custodian Of Medical Records Straight From The Us Legal Forms Website.
Web courts grant joint legal custody in the overwhelming majority of cases. Web this document, an affidavit of custodian of medical records , is a model affidavit for recording the type of information stated. Web many subpoenas include a form affidavit for the document custodian to complete and return to the party that requested the records. If the template suits your needs, click buy now.








